Упр.190 ГДЗ Муравин 6 класс (Математика)
Решение #1

Рассмотрим вариант решения задания из учебника Муравин, Муравина 6 класс, Дрофа:
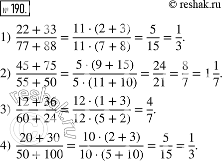
190. Сократите дробь:
1) (22+33)/(77+88);
2) (45+75)/(55+50);
3) (12+36)/(60+24);
4) (20+30)/(50+100).
*размещая тексты в комментариях ниже, вы автоматически соглашаетесь с пользовательским соглашением