Упр.200 ГДЗ Мерзляк Полонский 6 класс (Математика)
Решение #1

Рассмотрим вариант решения задания из учебника Мерзляк, Полонский, Якир 6 класс, Вентана-Граф:
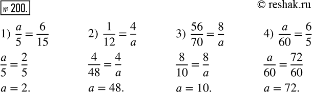
200 Пользуясь основным свойством дроби, найдите значение a, при котором верно равенство:
1) a/5= 6/15 ;
2) 1/12= 4/a ;
3) 56/70= 8/a ;
4) a/60= 6/5.
*размещая тексты в комментариях ниже, вы автоматически соглашаетесь с пользовательским соглашением