Упр.319 ГДЗ Мерзляк Полонский 6 класс (Математика)
Решение #1

Рассмотрим вариант решения задания из учебника Мерзляк, Полонский, Якир 6 класс, Вентана-Граф:
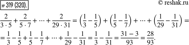
319 Вычислите значение выражения:
2/(3*5) + 2/(5*7) +...+ 2/(29*31).
*размещая тексты в комментариях ниже, вы автоматически соглашаетесь с пользовательским соглашением