Упр.464 ГДЗ Муравин 6 класс (Математика)
Решение #1

Рассмотрим вариант решения задания из учебника Муравин, Муравина 6 класс, Дрофа:
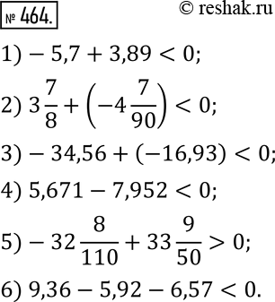
464. Не выполняя вычислений, скажите, какой знак неравенства следует поставить вместо многоточия:
1) -5,7+3,89 ... 0; 4) 5,671-7,952 ... 0;
2) 3 7/8+(-4 7/90) ... 0; 5) -32 8/110+33 9/50 ... 0;
3) -34,56+(-16,93) ... 0; 6) 9,36-5,92-6,57 ... 0.
*размещая тексты в комментариях ниже, вы автоматически соглашаетесь с пользовательским соглашением