Упр.499 ГДЗ Мерзляк Полонский 6 класс (Математика)
Решение #1

Рассмотрим вариант решения задания из учебника Мерзляк, Полонский, Якир 6 класс, Вентана-Граф:
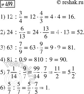
499 Найдите число:
1) 3/4 которого равны 12;
2) 6/13 которого равны 24;
3) 7/9 которого равны 63;
4) 0,9 которого равны 81;
5) 9/7 которого равны 7*1/14 ;
6) 5/7 которого равны 5/7.
*размещая тексты в комментариях ниже, вы автоматически соглашаетесь с пользовательским соглашением