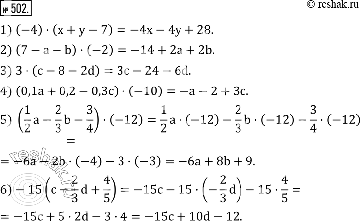
Упр.502 ГДЗ Муравин 6 класс (Математика)
Решение #1

Рассмотрим вариант решения задания из учебника Муравин, Муравина 6 класс, Дрофа:
502. Запишите выражение в виде суммы:
1) (-4)•(x+y-7);
2) (7-a-b)•(-2);
3) 3•(c-8-2d);
4) (0,1a+0,2-0,3c)•(-10);
5) (1/2 a-2/3 b-3/4)•(-12);
6)-15(c-2/3 d+4/5).
*размещая тексты в комментариях ниже, вы автоматически соглашаетесь с пользовательским соглашением