Упр.536 ГДЗ Муравин 6 класс (Математика)
Решение #1

Рассмотрим вариант решения задания из учебника Муравин, Муравина 6 класс, Дрофа:
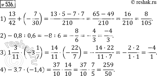
536. Представьте в виде несократимой дроби m/n, где m - целое, а n - натуральное число:
1) сумму чисел 13/42 и -7/30;
2) частное чисел -0,8 и 0,6;
3) произведение чисел 1 3/11 и -3 1/7;
4) произведение чисел -3,7 и -1,4.
*размещая тексты в комментариях ниже, вы автоматически соглашаетесь с пользовательским соглашением