Упр.546 ГДЗ Мерзляк Полонский 6 класс (Математика)
Решение #1

Рассмотрим вариант решения задания из учебника Мерзляк, Полонский, Якир 6 класс, Вентана-Граф:
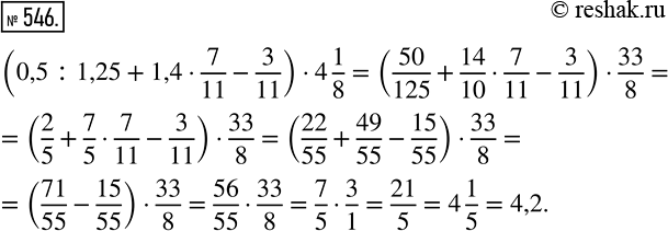
546 Найдите значение выражения:
(0,5:1,25 + 1,4*7/11-3/11)*4*1/8.
*размещая тексты в комментариях ниже, вы автоматически соглашаетесь с пользовательским соглашением