Упр.573 ГДЗ Мерзляк Полонский 6 класс (Математика)
Решение #1

Рассмотрим вариант решения задания из учебника Мерзляк, Полонский, Якир 6 класс, Вентана-Граф:
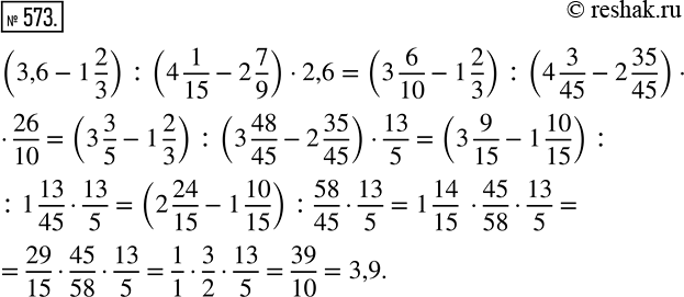
573 Найдите значение выражения:
(3,6 - 1*2/3):(4*1/15 - 2*7/9)*2,6.
*размещая тексты в комментариях ниже, вы автоматически соглашаетесь с пользовательским соглашением