Упр.741 ГДЗ Муравин 6 класс (Математика)
Решение #1

Рассмотрим вариант решения задания из учебника Муравин, Муравина 6 класс, Дрофа:
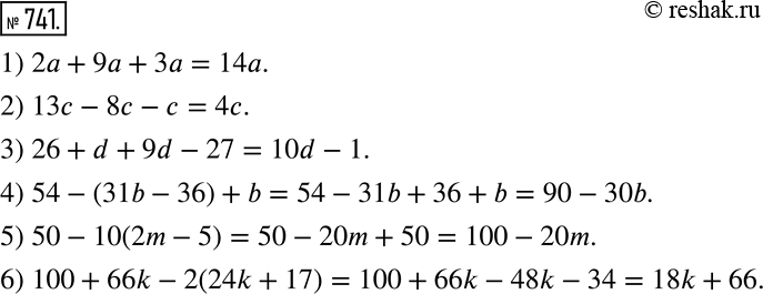
741. Упростите выражение:
1) 2a+9a+3a;
2) 13c-8c-c;
3) 26+d+9d-27;
4) 54-(31b-36)+b;
5) 50-10(2m-5);
6) 100+66k-2(24k+17).
*размещая тексты в комментариях ниже, вы автоматически соглашаетесь с пользовательским соглашением