Упр.770 ГДЗ Муравин 6 класс (Математика)
Решение #1

Рассмотрим вариант решения задания из учебника Муравин, Муравина 6 класс, Дрофа:
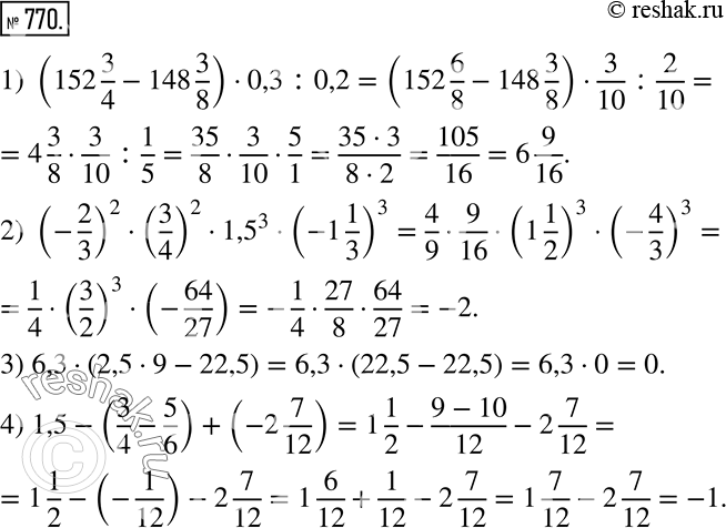
770. Найдите значение выражения:
1) (152 3/4-148 3/8)•0,3:0,2;
2) (-2/3)^2•(3/4)^2•?1,5?^3•(-1 1/3)^3;
3) 6,3•(2,5•9-22,5);
4) 1,5-(3/4-5/6)+(-2 7/12).
*размещая тексты в комментариях ниже, вы автоматически соглашаетесь с пользовательским соглашением